Linkuri accesibilitate

Cum adâncesc criteriile impuse pentru redeschiderea fizică a școlii falia dintre rural și urban


Sorin Cîmpeanu a declarat că va propune autoritățulor sanitare ca, în localitățile cu rată de incidență mai mică de 3/1.000 de locuitori, școlile să rămână deschise, indiferent de procentul de vaccinare a angajaților
Sorin Cîmpeanu a declarat că va propune autoritățulor sanitare ca, în localitățile cu rată de incidență mai mică de 3/1.000 de locuitori, școlile să rămână deschise, indiferent de procentul de vaccinare a angajaților

Condiția de a avea 60% angajați vaccinați pentru organizarea de cursuri în sistem offline a dus la deschiderea mai multor școli din mediul urban comparativ cu mediul urban. Școlile de la țară rămân închise, chiar dacă rata de infectare în localitate este mică.

Ministerul Educației nu are o situație clară a numărului de școli deschise în format fizic în mediul rural, comparativ cu mediul urban.

„Vom avea date relevante când vom primi situația detaliată la nivel de structură”, a răspuns Sorin Cîmpeanu la întrebarea Europei Libere câte școli din mediul rural sunt deschise în această săptămână.

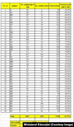
Deocamdată, cifrele oficiale de la Ministerul Educației arată cele mai multe școli care învață online sunt în Covasna – 66 de școli din totalul de 81, Suceava – 171 de școli din totalul de 230, Bihor – 114 de școli din totalul de 201, Bacău- 106 din totalul de 187 și Brăila – 54 de școli din 102.

Situația școlilor care învață online și față în față - județ cu județ
Situația școlilor care învață online și față în față - județ cu județ

Faptul că în mediul rural sunt deschise în mod fizic mai puține școli o știu directorii și inspectorii școlari.

În județul Iași, din cele 267 de unități școlare de stat și particulare, 207 au rata de vaccinare a personalului de cel puțin 60 %. Din cele 60 de școli cu rată de vaccinare de sub 60%, două sunt speciale și vin fizic la școală. Celelalte 58 își țin activitățile online. Proportional, dintre ele, cele mai multe sunt în mediul rural: 16 școli în orașe și 42 la țară.

Antonina Bleorț reprezintă Inspectoratul Școlar Iași și spune că rata de vaccinare va mai crește, pentru că unii dintre profesori s-au programat deja pentru imunizare. La nivelul inspectoratului, rata de vaccinare a angajaților instituției a ajuns la 91,07 % din din totalul celor 56 de angajați.

Directoarea școlii din Miroslava: Nu cred că decizia cu procentul de 60% este una corectă

Una dintre școlile din mediul rural care învață online în această săptămână este Școala Gimnazială din Miroslava. Aici învață 850 de elevi și preșcolari.

Aurora Deliu, directoarea la școlii din Miroslava, arată că mai mult de jumătate dintre angajații școlii sunt imunizați. „Noi avem 55% rata de vaccinare, dar avem colegi care s-au programat la vaccinare. Nu cred că decizia cu procentul de 60% este una corectă. Ar trebui să pună accent pe rata de incidență din localitate. La Miroslava a fost tot timpul rată de incidență mare. Nu cred că procentul vaccinării profesorilor e criteriul corect.”, arată susține Aurora Deliu.

„Eu sunt un director vaccinat, nu așa cum a spus dl ministru că școlile cu procente de vaccinare mici au directori antivacciniști”
Aurora Deliu - directoarea Școlii din Miroslava

Directoarea susține că are colegi care au trecut de curând prin boală, ei nu se pot vaccina încă, dar sunt excluși din statistică. „Noi am avut cadre didactice care s-au infectat și ei nu pot fi luați în calcul și nu se pot vaccina 2-3 luni. Cel mai greu e pentru grădinițe – dl ministru a zis că vor rămâne deschise, dar nu a fost așa”, a mai spus Aurora Deliu.

Școala din Miroslava este dotată cu tablete și există și conexiunea bună la internet în localitate. „Am oferit tabletele către părinți, am făcut o solicitare către inspectorat pentru 50 de tablete pentru familiile cu mai mulți copii care învață în același timp”. Procentul de promovare de la Evalaurea Națională a fost de peste 50% anul școlar trecut.

În județul Alba, sunt 145 de școli - 69 în mediul rural și 76 în mediul urban. Inspectoarea Gabriela Gâlea arată că, dintre cele 69 de școli din mediul rural, 27 învață fizic și 42 online.

„Într-un singur caz din mediul rural – Școala din Vinț ne-a cerut să învețe online, cu toate că are peste 60% dintre vaccinați, pentru că aveau centrala defectă. În mediul urban, dintre cele 76 de școli – 25 învață online și 51 fizic”, precizează inspectoarea.

Gabriela Gâlea spune că online-ul pune probleme și pentru urban, și pentru rural.

„Eu sunt acum după trei ore de online și e foarte greu să-i faci atenți pe toți cei care participă. Nu știu să vă spun cum cresc discrepanțele în rural-urban, pentru că nu am o analiză amănunțită. Cel puțin la noi în județ știu că toată lumea își dorește să revină la școală fizic. Calitatea semnalului poate fi o problemă în comunitățile izolate. Dar nu putem generaliza, pentru că sunt localități mari din rural care sunt în apropiere de un oraș și au dotări mai bune. La noi e cazul Ciugud din rural”, a spus Gabriela Gâlea.

Și în județul Vaslui, sunt mai multe școli din mediul rural unde elevii sunt online.

„Din 153 de școli câte sunt în tot județul, 119 învață fizic și 34 online ( 22,22 %). Din cele online, 3 școli sunt din urban - 1,96% din total- și 31 din rural, adică 20,26% din totalul școlilor”, a spus inspectorul Paul Anghel.

La Teleorman - 89 de școli din rural sunt online

La nivelul județului Teleorman, procentul școlilor din rural care sunt online este și mai mare. În timp ce din cele 82 de structuri școlare de la orașe, doar 8 învață online. În rural, din cele 296 de structuri, 89 învață online.

„Procentul este mai mare la școlile online din rural pentru că rata de vaccinare este mai mica în mediul rural”, arată inspectorul Florin Oriță. Acesta mai spune că în mediul rural „poate fi afectat procesul de învățare de la sate, pentru că gradul de sărăcie e mult mai mare în rural”

Copiii au dispozitive, dar nu stiu cât de bine funcționează internetul acolo, prin cătunele mici
Florin Oriță - inspector general Teleorman

Pentru că incidența cazurilor e mare, toate școlile din municipiul Buzău învață online

Toate şcolile și grădinițele din municipiul Buzău au decis să rămână, în această săptămână, online, indiferent de numărul cadrelor didactice imunizate, ca urmare a unei rate de infectare mare - 9.45/1000 de locuitori. Decizia a fost luată de consiliile de administrație și aprobată de inspectorat. La nivel de județ, o treime din şcolile din judeţul Buzău rămân online săptămâna aceasta din cauza ratei mici de vaccinare anti-COVID în rândul profesorilor, după cum arată Ionel Meiroșu, inspectorul general de la Buzău.

„Avem cam o tremie din unități în online. Sunt destul de multe școli din mediul urban care fac online. Nu e o disproporție așa de mare între urban și rural”, a spus Meiroșu. El spune că sunt și situații în mediul rural, cum este la Chiliile, unde rata de vaccinare, a angajaţilor din şcoală, este zero, iar copiii rămân acasă, în online, deşi rata de infectare în rândul comunităţii, este de circa 2 cazuri la mia de locuitori.

Cine a decis criteriul cu procent de 60% vaccinare

Rata de vaccinare de 60% în rândul angajaților din școală a fost stabilită săptămâna trecută ca „un compromis” pentru sănătatea elevilor și profesorilor.

„Dacă legam funcţionarea şcolii doar de rata de incidenţă, pentru că putea fi o variantă, nu am fi putut evita pragul de 6 la mie, am făcut o simulare şi am fi deschis doar 7%, în toate oraşele mari rata de incidenţă este peste 6 la mie, deci nu ar fi putut fi deschise”, a declarat ministrul Educației, Sorin Cîmpeanu.

Totuși, pentru că rata de vaccinare a crescut într-o săptămână de la 54% la 68%, ministrul a spus că trimite corpul de control pentru a vedea de ce s-a întâmplat acest lucru.

Procentul de 60% angajați din Educație vaccinați cuprinde profesorii, personalul auxiliar și personalul nedidactic vaccinat cu cel puțin o doză.

Rezultate mai slabe în rural la examenele naționale

Diferența dintre rural și urban se vede cel mai bine în rezultatele de la Evaluarea Națională și Bacaluareat. În 2021, la Evaluarea Națională, peste 37% dintre copiii din mediul rural care au participat la examen au luat medii sub 5, în timp ce mai puțin de 4% au luat peste 9. În mediul urban, 14,35% dintre elevii de clasa a VIII-a nu au reușit să obțină media 5, în timp ce 17,30 % au luat medii mai mari de 9.

În cazul Bacalaureatului, în sesiunea iunie-iulie 2021, numai 60,9 % dintre elevii din mediul rural din promoția curentă de la filiera tehnologică au picat examenul, în timp ce, pentru 31,1% dintre cei de la filiera teoretică, s-a întâmplat același lucru. În mediul urban, procentul celor de la filiera tehnologică a fost de 45,8%, și 40,6% la cea teoretică nu au promovat examenul.

Câmpeanu - Renunțăm la criteriul cu 60% vaccinare, în localitățile cu puțini infectați

Ministrul interimar al Educației a venit luni cu o propunere nouă: ca în localităţile în care rata de incidenţă a cazurilor de COVID-19 este mai mică de 3 la mie să se renunţe la pragul minim de vaccinare de 60% pentru personalul didactic şi copiii să poată merge la şcoală.

„În măsura în care autorităţile sanitare sunt de acord, voi propune următorul lucru: în localităţile în care rata de incidenţă este mai mică de 3 la mie să se poată renunţa la acest prag minim de vaccinare. În acest fel, am putea da posibilitatea acelor localităţi din mediul rural în care nu sunt infectaţi, dar nici suficient de mulţi vaccinaţi, să poată deschide şcoala cu prezenţă fizică. Atrag atenţia că tocmai în aceste şcoli din mediul rural predarea online este cea mai deficitară”, a declarat Sorin Cîmpeanu într-o intervenție la Digi 24.

  • 16x9 Image

    Andreea Ofițeru

    Andreea Ofițeru s-a alăturat echipei Europa Liberă România în ianuarie 2021, ca Senior Correspondent. Lucrează în presă din 2001, iar primele articole le-a publicat în România Liberă. Aici a scris pe teme legate de protecția copiilor, educație, mediu și social. De-a lungul timpului, a mai lucrat în redacțiile Adevărul, Digi24, Gândul, HotNews.ro, unde a documentat subiecte legate de învățământul din România și de actualitate. 

    A scris știri, interviuri, reportaje și anchete. A participat la mai multe proiecte printre care și conceperea primului supliment dedicat exclusiv subiectelor despre școală: Educație&Școală.  

    A fost bursieră Voice Of America/Washington DC, într-un program dedicat jurnaliștilor din Europa de Est.

XS
SM
MD
LG